Machine Solutions Inc. übernimmt Megadale und erweitert Intec Automation um einen Standort in Irland

Machine Solutions Inc., ein globaler Anbieter von fortschrittlichen Anlagen und Dienstleistungen für die Medizinprodukte- und Life-Science-Branche, gab heute die Übernahme von Megadale bekannt, einem traditionsreichen Anbieter von Automatisierungsanlagen mit Sitz in Galway, Irland. Megadale ist bekannt für Präzisionstechnik und fundiertes Fachwissen im Bereich Automatisierungssysteme für Medizintechnikhersteller und bringt jahrzehntelanges Kundenvertrauen sowie technische Kompetenz in die […]

continue reading

Domestic Metals veranstaltet Live-Webinar für Investoren

Domestic Metals Corp. (das „Unternehmen“ oder „Domestic Metals“) – (TSXV: DMCU; OTCQB: DMCUF; FWB: 03E0), veranstaltet am Dienstag, dem 14. April 2026, um 13:15 Uhr PDT (16:15 Uhr EDT / 22:15 Uhr CEST) ein Live-Webinar für Investoren. Das Webinar wird von Gordon Neal, CEO und Direktor, und Alan Wainwright, PhD, P.Geo., Technical Advisor, moderiert und bietet […]

continue reading

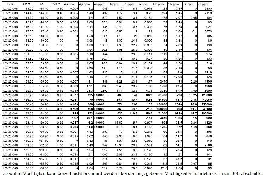
Vanguard Mining Corp. reicht ersten technischen Bericht gemäß NI 43-101 ein, der das Gold-Kupfer-Porphyr-Epithermal-Potenzial des Projektes Brussels Creek in British Columbia hervorhebt

Vanguard Mining Corp. („Vanguard“ oder das „Unternehmen“) (UUU: CSE | UUUFF: OTCID | SL51: Frankfurt) freut sich bekannt zu geben, dass es seinen ersten unabhängigen technischen Bericht gemäß National Instrument 43-101 („NI 43-101“) (der „Technische Bericht“) für sein zu 100 % unternehmenseigenes Projekt Brussels Creek (das „Projekt“) eingereicht hat, das sich in der Mining Division Kamloops im südlichen […]

continue reading

www.miningscout.de – Massive Kupferfunde: Herausragende Bohrergebnisse machen Hoffnung gegen drohendes Kupferdefizit

Neue Kupferentdeckungen sind seit Jahrzehnten Mangelware. Doch seit einigen Jahren steigen die Explorationsausgaben des Sektors. Zuletzt ließen mehrere Bohrergebnisse aufhorchen: Möglicherweise trocknet die Pipeline doch nicht aus. Der Kupferexplorer Algo Grande Copper (ISIN: CA0156071049, WKN: A41UK1) meldete Anfang April Bohrergebnisse, die branchenweit Aufsehen erregten. Auf dem Adelita-Projekt im mexikanischen Sonora wurde eine durchgehende Kupfer-Gold-Silber-Mineralisierung über 57 Meter […]

continue reading

Redwood AI kündigt aktualisierte Cloud-basierte Reactosphere-Plattform mit verbesserter Sicherheit und erweiterten Kernfunktionen an

Redwood AI Corp. (CSE: AIRX) (OTCQB: RDWCF) (Frankfurt: Y0N, WKN: A422EZ) („Redwood“ oder das „Unternehmen“) freut sich bekannt zu geben, dass Reactosphere (die „Software“ oder „Plattform“), seine KI-gesteuerte chemische Syntheseplattform, jetzt vollständig in der Cloud bereitgestellt wird und Nutzern über eine verbesserte, produktionsbereite Softwareumgebung zugänglich ist. Dieses Upgrade von Reactosphere, das auf einer skalierbaren und sicheren Architektur aufbaut, markiert […]

continue reading

Apex Critical Metals nimmt an der „Critical Materials Conference: Aerospace & Defence“ in Washington, D.C. teil

Apex Critical Metals Corp. („Apex“ oder das „Unternehmen“) (CSE: APXC | OTCQX: APXCF | FWB: KL9) freut sich, bekannt zu geben, dass das Unternehmen an der Critical Materials Conference: Aerospace & Defence 2026 in Washington, D.C., teilnimmt, und stellt zusätzlich ein Unternehmensupdate bereit. Die Veranstaltung findet vom 19. bis 20. Mai 2026 in Washington, D.C., statt […]

continue reading

Coppernico optioniert Schlüsselkonzessionen bei Sombrero

Coppernico Metals Inc. (TSX: COPR, OTCQB: CPPMF, FWB: 9I3) („Coppernico“ oder das „Unternehmen“) freut sich, bekannt zu geben, dass das Unternehmen eine Option auf Mineralkonzessionen mit einer Gesamtfläche von 600 Hektar („ha“) erworben hat, die an sein Zielgebiet Tipicancha auf seinem Projekt Sombrero in Peru angrenzen. Die unter Option stehenden Konzessionen (die „Horizonte-Konzessionen“) befinden sich in […]

continue reading

Sadie in Tripleseat integriert, um die Erfassung von Leads für private Veranstaltungen in Restaurants zu automatisieren

Sadie, der für die Gastronomie entwickelte KI-Telefonagent, wurde in Tripleseat integriert, eine Veranstaltungsmanagement-Plattform, die von mehr als 19.000 Restaurants, Hotels und Veranstaltungsorten in ganz Nordamerika genutzt wird. Durch diese Integration können Restaurants, die Tripleseat nutzen, nun Sadie rund um die Uhr eingehende Anrufe zu privaten Veranstaltungen beantworten lassen, Lead-Details durch ein natürliches Gespräch erfassen und […]

continue reading

Banff Half Marathon schließt die Emissionsbilanz für 2025 ab und unterstützt Klimaschutzmaßnahmen gemeinsam mit Karbon-X

Karbon-X Corp. (OTCQX:KARX) („Karbon-X“) und der Banff Half Marathon gaben heute den Abschluss der Emissionsbewertung für den Banff Half Marathon 2025 bekannt und unterstrichen damit die anhaltende Vorreiterrolle der Veranstaltung in Sachen Umweltverantwortung innerhalb der globalen Ausdauersport-Community. Das jährlich im Banff-Nationalpark stattfindende, international anerkannte Rennen hat sich zu einem führenden Beispiel dafür entwickelt, wie groß […]

continue reading

First Majestic gibt Produktionsergebnisse für das 1. Quartal 2026 bekannt

First Majestic Silver Corp. (NYSE: AG) (TSX: AG) (FWB: FMV) (das „Unternehmen“ oder „First Majestic“) gibt bekannt, dass sich die gesamte Produktion im ersten Quartal 2026 bei den vier produzierenden Untertageminen des Unternehmens in Mexiko – Silber-/Goldmine Santa Elena („Santa Elena“), Silbermine Los Gatos („Los Gatos“) (das Unternehmen besitzt eine 70-%-Beteiligung am Los Gatos-Joint-Venture, dem […]

continue reading